El Invima ordenó el retiro del mercado de varios lotes de fórmulas infantiles al identificar un riesgo sanitarioasociado a la presencia de una toxina, tras una alerta emitida por sistemas internacionales de vigilancia alimentaria.
Como parte de sus acciones de control sanitario, el Invima confirmó el retiro de fórmulas infantiles que circulaban en Colombia, luego de establecer un riesgo sanitario derivado de la presencia de una toxina en un ingrediente utilizado en estos productos destinados a la nutrición infantil.
La advertencia surgió a partir de reportes emitidos por organismos internacionales de vigilancia, entre ellos la Red Internacional de Autoridades de Inocuidad de los Alimentos (INFOSAN) y el Sistema de Alertas Rápidas para Alimentos y Piensos de la Unión Europea (RASFF), que alertaron sobre la contaminación de una materia prima empleada en fórmulas para lactantes y niños.
Según explicó la autoridad sanitaria, el componente afectado corresponde al ácido araquidónico (ARA), un omega-6 utilizado de forma habitual en la elaboración de fórmulas infantiles, el cual habría sido contaminado con cereulida, una toxina producida por la bacteria Bacillus cereus.
Lea aquí: María Fernanda Cabal abandona el Centro Democrático luego del proceso que eligió a Paloma Valencia
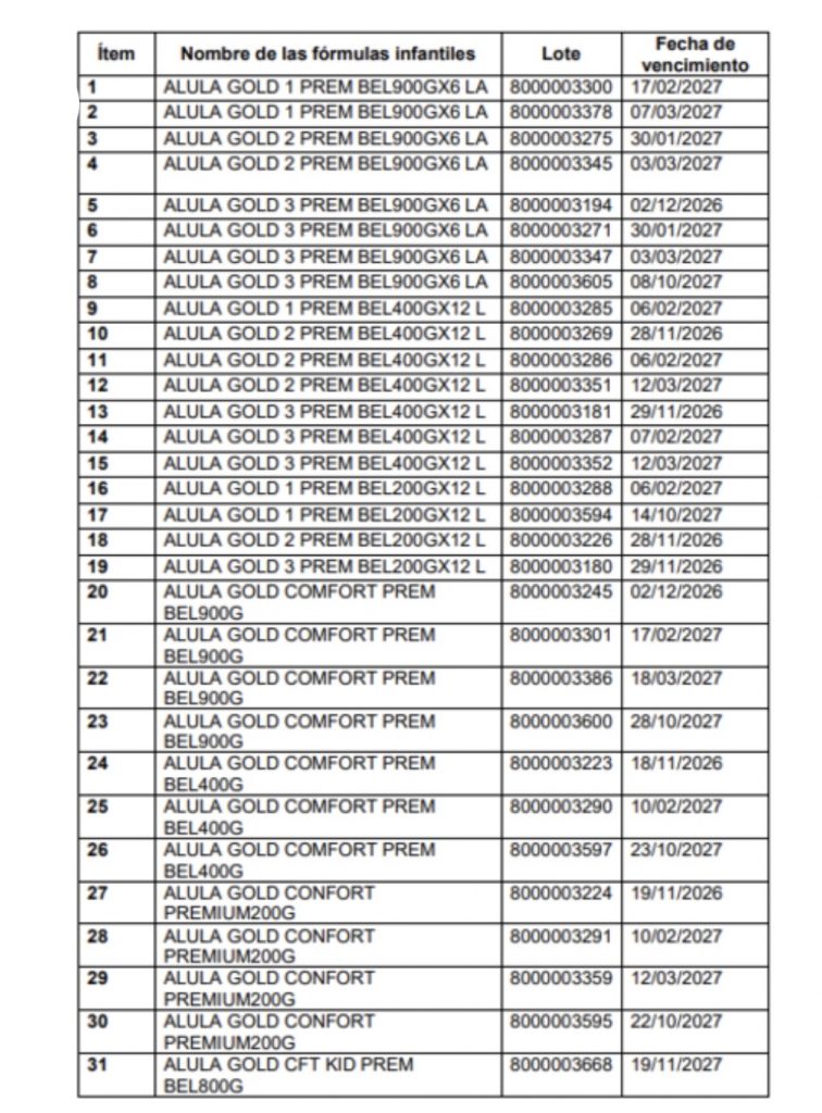
Tras la verificación del caso, el Invima identificó que en el país fueron distribuidos 31 lotes específicos pertenecientes a las líneas Alula Gold Premium, Alula Gold Comfort Premium y Alula Gold CFT Kid Premium, en presentaciones que van desde los 200 hasta los 900 gramos, con fechas de vencimiento que llegan hasta octubre de 2027. La entidad aclaró que no todos los productos de la marca están comprometidos, sino únicamente los lotes señalados.

Como medida preventiva, el importador Sanulac Nutrición Colombia S.A.S. inició el retiro voluntario de los productos involucrados. El Invima insistió en que estos lotes no deben ser comercializados ni consumidos, y pidió a padres, madres y cuidadores suspender su uso inmediato en caso de tenerlos en casa.
Finalmente, el instituto solicitó a las secretarías de salud reforzar las acciones de inspección, vigilancia y control, al tiempo que advirtió que la presencia de estos productos en puntos de venta podría derivar en la imposición de medidas sanitarias de seguridad.


